文章信息
![]() | 财经研究 2017年43卷第7期 |
- 魏下海, 林涛, 张宁, 刘鸿优.
- Wei Xiahai, Lin Tao, Zhang Ning, Liu Hongyou.
- 无法呼吸的痛:雾霾对个体生产率的影响——来自中国职业足球运动员的微观证据
- The pain that people cannot breathe:effects of air pollution on individual productivity-micro evidence from chinese professional soccer players
- 财经研究, 2017, 43(7): 4-19
- Journal of Finance and Economics, 2017, 43(7): 4-19.
-
文章历史
- 收稿日期:2017-03-10

2017第43卷第7期
2. 南开大学 经济学院,天津 370001;
3. 暨南大学 经济学院,广东 广州 510632;
4. 华南师范大学 体育科学学院,广东 广州 510631
2. School of Economics, Nankai University, Tianjin 370001, China;
3. School of Economics, Jinan University, Guangzhou 510632, China;
4. School of Physical Education & Sports Science, South China Normal University, Guangzhou 510631, China
一、引言
过去30余年来,中国在追求经济高速增长的同时,遭受着严重的环境污染。亚洲开发银行报告(2012) 显示,中国最大的500个城市,仅有不到1%的城市达到世界卫生组织推荐的空气质量标准;世界上污染最严重的10个城市,就有7个在中国。①近年来,我国多次出现大范围雾霾天气,多地的颗粒污染物(PM2.5) 指数频频爆表。按世界卫生组织的指导标准,中国PM2.5浓度高达欧美发达国家污染程度的四倍(Chang等,2016a)。严重的空气污染直接影响到居民的身心健康和生活质量。2013年,我国74个主要城市由PM2.5引起的死亡率高达1.9‰,呼吸系统和肺癌引起的死亡高达百万例(Fang等,2016)。
① 张庆丰,[美](罗伯特·克鲁克斯Crooks) (R.):《迈向环境可持续的未来——中华人民共和国国家环境分析》,中国财政经济出版社,2012。
事实上,空气污染除了威胁居民健康之外,还影响着广大民众经济生活的方方面面,包括对户外活动、消费出行、工作效率、情绪以及行为(暴力)等都产生着不利影响(郑思齐等,2016)。在严重污染的情形下,人们会自然而然地选择主动规避行为,减少户外时间。比如,2014年北京马拉松比赛由于雾霾的侵袭,大量选手选择弃权,另有6 000名参赛选手自带防毒面具。①对职业运动员而言,其赛场的表现力容易受到空气污染的影响(Rundell,2012;Lichter等,2015)。对那些长期暴露在雾霾下的户外从业者,其个体的工作效率和注意力常因空气污染而大打折扣。总体来看,空气污染无疑会在一定程度上损耗社会有效劳动力供给和城市经济活力。
① 参见《2014年北京马拉松变成霾拉松》,2014年10月20日,新华网,http://news.xinhuanet.com/mrdx/2014-10/20/c_133727761.htm。
理论上,空气污染可以通过生理健康和反应能力(包括判断力、情绪等)对个体生产率产生重要影响。然而要对此进行严谨的实证评估并非易事,一个关键的挑战在于:现实中难以获取那些暴露于大气中的从业者在特定时间范围内(比如某一天某个时间段)的经济活动和生产率数据。虽然目前国内已有许多大型的微观个体调查数据(比如CHNS、CHIPs、CFPS、UHS、RHS、人口普查数据,等等),但均未见有对来自工农业和服务业等部门户外从业人员某个时间段经济行为的调查。虽然,雾霾也会在一定程度影响户内从业者行为和效率,比如,因大气污染造成情绪紧张或堵车导致工人上班迟到进而影响生产率(Chang等,2016b),但要获取户内工人生产率数据同样困难重重。因此,为了评估雾霾对个体生产率的影响,我们采取替代性方式,借鉴Lichter等(2015) 的做法,利用从事户外足球运动的职业球员相关指标来刻画个体生产率。足球运动作为一项暴露在户外的集体大型运动,球员除了具备一定的专业技能外,还要求拥有良好的健康状况以及对比赛的认知和应变能力(Di等,2007)。就此而言,足球运动员与其他类型的户外从业者相近似,需要在户外露天的情景中进行活动,其行为和生产率均会受到雾霾的影响。因此,我们利用中国足球运动员这一独特的微观面板数据,在实证上提供关于空气污染对生产率影响的微观证据。在实证过程中,我们利用中国足球协会超级联赛(下文简称“中超”)2014年5月17日到2016年7月9日522场比赛的首发球员传球次数来刻画个体生产率,空气状况则取自于距离比赛场馆最近的监测点的实时监测数据。
研究结果表明,空气污染会显著降低球员的传球次数,AQI每上升1%,球员传球次数会下降0.021%;PM2.5浓度每上升1%,传球次数下降0.016%;PM10浓度每上升1%,传球次数下降0.013%。空气污染对球员传球次数的影响在客场比赛会被放大,而在主场不显著;高超技能可以在一定程度上弱化空气污染对生产率的负向影响,球技更好的外援受空气污染的影响甚微,但对本土球员的负向影响很大;在不同位置(后卫、前卫、前锋),空气污染效应有所不同。需要提及,中超单个赛季的比赛都安排在当年3月份至11月份举行,但赛程是提前在每年年初(1月底)由中国足协职业联赛理事会执行局和中超联赛有限责任公司确定,比赛当天的空气和天气状况完全随机,不存在球队和球员的主动规避行为。换言之,球员暴露于何种空气质量下进行户外比赛,具有外生性,因而本文研究结论稳健可靠。
需要进一步强调的是,一方面,尽管本文研究显示空气污染影响了球员的赛场表现,但并不能因此将中国足球的长期低水平归咎于空气污染。恰恰相反,只有那些掌握高超球技的球员(比如外援),才能在很大程度上化解空气污染对个体表现力的不利影响,那些球技较弱的球员,空气污染的负向影响才被放大。因而,本文结论亦反驳了此前中国足球界喧嚣尘上的“雾霾效应”。①另一方面,虽然本文是基于中国足球运动员微观数据评估空气污染效应。但事实上,这一结论并不能简单局限于户外的足球运动,完全可以推广到对诸多户外工种生产率的影响,譬如户外建筑工人、高空保洁工人、司机及物流快递员等。如果上升到整个行业、产业及国家层面,空气污染将无疑造成社会生产和经济活动的巨大损耗。②显然,通过增强环保意识,改善空气质量,是为城市发展提供高效率劳动力、为城市经济注入新鲜活力的关键举措。
① 国内外大量媒体报告声称,空气污染导致中国足球一蹶不振。http://we.sportscn.com/viewnews-1988841.html。http://jandan.net/2016/03/09/footballers-efficiency-affected.html。http://esporte.uol.com.br/futebol/ultimas-noticias/2016/04/04/futebol-x-saude-time-chines-joga-na-2-cidade-mais-poluida-do-mundo.htm。
② Zhang等(2008) 发现,111个重点城市,由PM2.5污染造成死亡率提升的经济损失高达29 178.7亿美元;Xia等(2016) 研究表明,2007年因PM2.5引起的致死率和致病率提升使中国遭受高达3 462.6亿元的经济损失,占GDP的1.1%。
二、文献综述
与本文密切相关的文献主要有两支。第一支文献是空气污染影响户外活动人群的生理健康(包括呼吸系统、心肺功能等),进而影响生产率。大量的毒理学和流行病学证据表明,空气中高浓度的颗粒污染物(PM2.5及PM10) 会随着人类呼吸深入肺部,影响营养吸收、诱发呼吸道和心血管疾病,导致住院率和死亡率上升(Pope等,1995;Donaldson等,2000;Pope Ⅲ等,2002;Dockery,2009;Weinmayr等,2010;陈硕和陈婷,2014)。这些颗粒污染物会刺激眼、耳、口、鼻和呼吸道,在几小时内即会引起咳嗽、呼吸困难和轻微头疼(Ozkaynak等,1995;Thatcher和Layton,1995;Vette等,2001;Son和Bell,2013)。③
③ 空气污染不仅会损害呼吸系统、心肺功能健康和劳动生产活动,甚至还会影响到生命的起点,影响婴幼儿发育和居民死亡率。大量文献表明,空气污染会通过哮喘和神经系统疾病影响儿童大脑发育(Currie和Neidell,2005;Currie,2013),成为引起婴儿死亡的最危险因素。Garvey和Longo(1978) 发现CO会影响婴儿大脑发育;Currie和Neidell(2005) 考察了20世纪90年代美国加州空气污染治理行动,结果显示治理行动拯救了1 000个婴幼儿的性命,经济价值折合约170亿美元。Schlenker(2015) 借助美国加州12个机场100Km内的600万居民数据,研究表明CO浓度提高会显著提高下风向婴幼儿哮喘病的住院率。
在污染严重的天气下,经济活动人群的生产率会大打折扣。比如,Stern(2003) 研究发现,大约2/3的香港户外工人(司机和建筑工)因空气污染出现哮喘、喉咙疼痛和眼睛刺疼等症状,导致工作效率下降。Chan和Wu(2005) 对台湾43名快递员的研究发现,空气污染显著降低了工人的肺活量,导致效率损失。Zivin和Neidell(2012) 利用美国农业工人的数据研究发现,空气污染会造成肺功能及呼吸功能的损伤,进而影响生产效率。Chang等(2016a)利用美国梨子包装工人的计件工资数据,研究发现PM2.5浓度提高会引起工人因病缺勤和产生出勤主义(Presenteeism),导致生产率下降;④Li等(2015) 利用中国河北某纺织厂98名工人近15个月的面板数据,研究发现工人劳动生产率及产品的质量随着PM2.5浓度的上升而下降。
④ 出勤主义是指员工因生病、压力大或其他事情而无法专心工作时还必须照常上班的情况。
第二支文献讨论了空气污染对人们反应能力、认知和注意力的影响。Kampa和Castanas(2008) 研究发现,PM2.5浓度和大脑的氧化应激直接相关,会直接影响小胶质细胞的活跃度,脑血管的功能性障碍、中枢神经系统及脑血管障壁等,显著恶化成年人的精神敏锐度。不仅如此,空气污染还将分散注意力和弱化视觉功能,造成人们认知能力的损伤(Zivin和Neidell,2013;Gatto等,2014;Lavy等,2014;Archsmith,2015),进而影响技能从业人员的工作效率(Chang等,2016b)。
一些文献专注于讨论空气污染对体育运动表现的影响。Weiss和Rundell(2011) 利用美国马拉松赛事,以及Fu和Guo(2016) 利用中国的马拉松比赛赛事,均发现空气污染显著增加了参赛选手的比赛用时。Archsmith(2015) 基于美国棒球大联盟的数据发现,空气污染会对裁判员的判断力、决策力、归纳推理和记忆力等产生不利影响,从而增加其误判的概率。Lichter等(2015) 研究空气污染对高技能、高素质从业者的短期影响,利用德国足球甲级联赛球员数据实证发现,PM10浓度每提高1%,球员传球次数平均会下降0.02%。
分析上述文献可见,目前国外已有不少研究探讨了空气污染通过生理健康及反应能力等渠道影响个体生产率。但国内这方面的研究仍寥寥无几,其中一个最重要的原因可能是个体生产率数据的不完备,本文提供了一个新的分析思路。
三、数据、关键指标与计量模型
(一)数据。本文选用中国足球协会超级联赛2014-2016年共三个赛季的比赛,由于要匹配到比赛场馆附近监测点的空气和气象数据,故选取了2014赛季2014年5月17日至2016赛季2016年7月9日的数据。①中超比赛由中国足球协会组织,是中国大陆地区最高级别的职业足球赛。赛程的制定完全由中国足协职业联赛理事会执行局和中超联赛有限责任公司负责,每年1月进行专业化、科学化、合理化的编排,制定好每场比赛的日期和开球时间。②每支球队主场基本是球队所在城市的固定体育场馆,并另选一个同城体育馆备用。以主客场双循环的方式进行,全赛季共30轮,240场比赛。需要提及的是,就本文而言,比赛日期及开球时间是既定的,比赛时的空气及天气状况完全随机,不存在球队和球员的主动规避行为。因此,中超球员暴露在污染的空气中进行户外比赛,是完全外生的。
① 本文选用离比赛场地最近的检测点的空气质量实时监测数据,监测点的数据开始于2014年5月8日,匹配到中超联赛的比赛,最早时间为2014年5月17日。
② 2015赛季及以前赛季的赛程按照上一赛季中超联赛最终排名,进行蛇形排列,轮转对阵。2016赛季首次摒弃了人工编排,在十大必要条件下,运用计算机对阵软件编排。十大条件详见http://sports.sina.com.cn/china/j/2016-01-27/doc-ifxnuvxc2081625.shtml。
实证过程,我们将足球运动员数据与比赛开球时的空气和气象数据合并,以此评估空气污染对球员比赛表现力的影响。其中,球员和比赛的数据来自领先体育Csl Data和网易中超数据直播系统,③该网站发布每场比赛及每个球员的详细信息。比赛信息包括比赛的场地、日期、开球时间、主客场情况,球员个人信息包含球员的年龄、国籍、位置(守门员、后卫、前卫、前锋)、场上时间以及传球、抢断、铲球、过人、犯规、助攻、射门等个人指标数据。由此,我们获得由首发球员(除门将外)构造而成的大样本面板数据。
③ 网易中超数据直播系统使用的数据源为领先体育数据,是通过视频转播画面采集技术收集球员数据信息。领先体育数据http://www.chinakick.com/csldata.aspx,网易中超数据直播系统http://cs.sports.163.com。
空气污染数据来源于同花顺数据库关于空气质量的实时监测。为了精确地获取每个比赛场次和场馆的空气污染数据,具体做法是:首先,确定2014-2016年三个赛季每场中超比赛场馆所在地(见图 1),通过http://aqicn.org/map/china/cn(中国空气污染:实时空气质量指数地图)和http://www.google.cn/maps(谷歌地图)筛选出离每个比赛场馆最近的监测点(感兴趣读者可向笔者索取监测点名录)。其次,根据比赛时间和场地,选择对应监测点在开球时间最近整点的观测数据。①如果监测点在开球时间附近时间段的数据缺失,选择次近监测点的数据进行补充。比如,辽宁盘锦宏运主场盘锦锦绣体育场距离盘锦中心区约48公里,到营口西炮台约为4公里,故选择西炮台监测点。
① 优先选择比赛时间内的整点时间,如8:15pm选择9:00pm的观测值。
![]() |
图 1 中超(2014-2016赛季)比赛场馆的地理分布 |
由于气象状况好坏同样会影响户外运动者的表现,因而控制气象因素的影响是必要的。气象数据源于历史天气网站www.wunderground.com,选择距开球时间最近的整时数据,主要包括当地的温度、露点、湿度、气压、风速和天气等。
(二)关键指标。本文考察空气污染对个体生产率的影响程度。被解释变量是中超足球运动员在比赛中的传球次数。传球次数是反映某个球员在整场比赛表现力的一个较为客观的指标,因而可以作为球员生产率的测度变量(Lichter等,2015)。
核心解释变量是空气质量指数(Air Quality Index,简称AQI)。AQI是定量描述空气质量状况的非线性无量纲指数,参与空气质量评价的主要污染物为细颗粒物、可吸入颗粒物、二氧化硫、二氧化氮、臭氧、一氧化碳等六项。既有研究表明,PM2.5、PM10等大气污染会对生理和心理健康造成负面影响,AQI更全面地刻画了空气的污染状况,进而精准地识别出空气对职业足球运动员传球次数的影响。为更进一步评估颗粒污染物的影响,我们实证检验PM2.5、PM10对球员传球次数的影响程度。
(三)统计事实。表 1汇报了关键变量的统计描述。球员数据来自中超2014赛季至2016赛季第15轮,原则上存在75轮比赛,由于空气质量实时监测数据的缺失,最终保留了2014赛季的2014年5月18日至2016赛季的2016年7月9日,在24个球场所进行的522场比赛(其中,2014赛季152场,2015赛季240场,2016赛季130场)。根据Csl Data提供的数据,将每个球员按照场上位置划分守门员、后卫、前卫和前锋四类。在实证分析中,考虑到守门员位置的特殊性,将其排除样本之外。同时由于替补上场球员的比赛时间和传球次数存在异常情况,特别是有个别场次存在临近比赛结束时,出于战术需要(比如拖延比赛时间等)换人的状况,剔除掉替补上场球员的数据。因此,每场比赛仅考虑首发的、且除门将之外的球员。
观测数 | 平均值 | 标准差 | 最小值 | p25 | p50 | p75 | 最大值 | |
Pass | 10 466 | 36.515 | 15.294 | 1 | 25 | 35 | 46 | 126 |
AQI | 8 981 | 76.816 | 52.15 | 15 | 42 | 62 | 95 | 500 |
PM2.5 | 8 921 | 48.423 | 42.054 | 1 | 22 | 36 | 61 | 367 |
PM10 | 8 271 | 88.165 | 71.172 | 7 | 42 | 64 | 110 | 773 |
Playtime | 10 466 | 84.116 | 12.709 | 10 | 89 | 90 | 90 | 90 |
Age | 10 466 | 27.574 | 3.649 | 19 | 25 | 27 | 30 | 37 |
Defender | 10 466 | 0.389 | 0.488 | 0 | 0 | 0 | 1 | 1 |
Midfield | 10 466 | 0.427 | 0.495 | 0 | 0 | 0 | 1 | 1 |
Forward | 10 466 | 0.184 | 0.388 | 0 | 0 | 0 | 0 | 1 |
Temperature | 8 921 | 21.705 | 6.423 | 2 | 18 | 23 | 26 | 34 |
Dewpoint | 8 552 | 14.834 | 9.12 | -20 | 11 | 17 | 22 | 30 |
Humidity | 8 552 | 0.668 | 0.215 | 0.08 | 0.55 | 0.7 | 0.83 | 1 |
Air_pressure | 8 552 | 1 010.754 | 6.642 | 995 | 1 006 | 1 010 | 1 015 | 1 032 |
Wind_speed | 10 466 | 9.762 | 6.802 | 3 | 3.6 | 7.2 | 14.4 | 39.6 |
由表 1可见,原始数据中球员传球次数变量包含10 466个观测值,平均每个球员传球次数(Pass)为36.5,最大值126,最小值1。平均每场比赛的空气质量(AQI)为76.816,最小值为15(为2016年7月16日16时延吉人民体育场),最大值为500(为2015年3月22日18时郑州航海体育场)。其中PM2.5浓度平均值为48.4,最小值为1,最大值为367;PM10浓度平均值为88.2,最小值为7,最大值为773。由四分位数及方差可知,解释变量和被解释变量均具备较大的变异性。球员比赛时间(Playtime)的平均值为84.1分钟,最小值为10分钟,①最大值为90分钟(踢满全场)。球员的年龄(Age)区间为19-37岁,平均年龄为27.6岁,3/4为30岁及以下。后卫(Defender)、前卫(Midfielder)和前锋(Forward),占比分别为38.9%、42.7%和18.4%。
① 2015/7/5,上海上港,维达;2016/5/14上海上港,吉安。
气象数据方面,每场比赛的温度(Temperature)平均值为21.7℃,最低值为2℃,最高值为34℃。每场比赛的露点(Dewpoint)平均值为14℃,最低值为-20℃,最高值为30℃。②每场比赛的湿度(Humidity)平均值为66.8%,最低值为8%,最高值为100%。场均气压(Air_press)为1 010.75百帕,最低值为995百帕,最高值为1 032百帕。场均风速(Wind_speed)为9.76公里/小时,最低值为3公里/小时,最高值为39.6公里/小时。这些信息基本反映了气象状况在不同的比赛场馆以及在不同的比赛时间的差异性。
② 露点(Dew point),又称露点温度(Dew point temperature),是指在固定气压下,空气中所含的气态水(即水蒸气)达到饱和(凝结成液态水)所需要降至的温度。
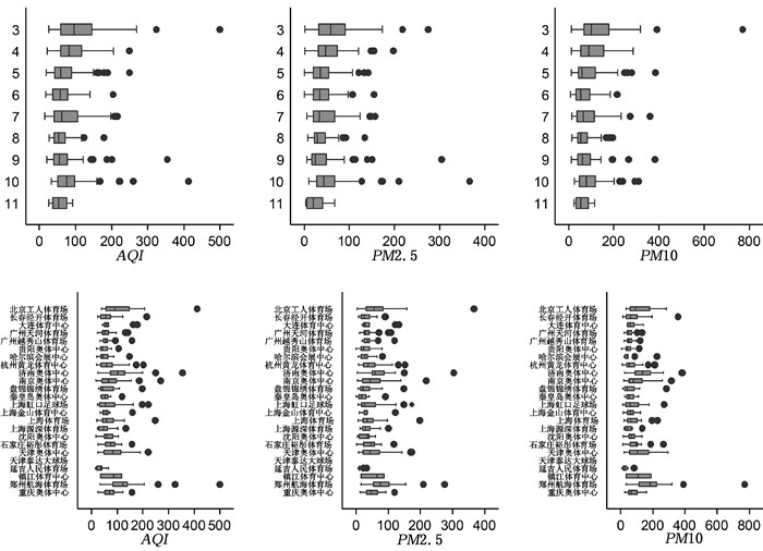
图 2进一步描绘出AQI、PM2.5浓度及PM10浓度在不同月份(3月份至11月份)和比赛场馆的分布状况。图 2上半部分显示,空气污染在不同的月份呈现不同的状况,在冬春交替之季的污染状况较为严重。图 2下半部分呈现不同地区的空气污染程度。由于中国幅员辽阔,中超联赛的场馆分布在不同地区(结合图 1),使得实证分析具有一定的代表性。其中,郑州、北京、天津污染最为严重,广州和延吉空气质量最优。总体而言,空气污染在不同月份及场馆上的数值存在较大差异,满足实证分析需要。
![]() |
图 2 不同月份和球场的污染状况箱线图 |
(四)模型估计。本研究旨在利用中超比赛过程球员的传球次数据考察空气污染对个体生产率的影响。前文提及,球员传球次数可能因上场时间、年龄、位置和气候的不同而有所差异。由于中超以主客场双循环的方式进行,球员在主客场的表现将会不同,且球员及球队名单随着球队的晋级、降级、转会、更换教练等状况在不同的赛季而有所变化。同时,气象条件也会影响球员的比赛表现(Zivin和Neidell,2013;Adhvaryu等,2014;Lichter等,2015)。因此,在考察球员传球影响因素时,个体特征、主客场、赛季、球队和气象条件都是需要考虑的。故本文模型设定如下:
$ {\rm{ln}}Pas{s_{im}} = {\alpha _i} + \beta {\rm{ln}}{X_m} + \gamma {Z_{im}} + \delta Home + \mu {W_m} + ({T_t} \times {S_s}) + {\varepsilon _{im}} $ | (1) |
其中:下标i、m分别代表个体和比赛场馆,ε表示随机扰动项。模型被解释变量lnPass表示中超球员在某场比赛的传球次数,取自然对数。模型核心解释变量lnX分别表示为AQI、PM2.5浓度和PM10浓度这三个指标,取自然对数。β是我们最关心的估计系数,表示弹性概念,本文预计β的符号为负。α为不随时间和比赛改变的球员个体的特征变量。Z为球员个体的特征,如球员年龄、年龄的平方、上场时间、位置(以前锋为参照组)等。Home为主客场的虚拟变量,1为主场,0是客场。气象变量W主要包括天气、温度、露点、湿度、气压和风速。同时,控制了球队和赛季效应,以及赛季和球队的交互项,用来捕捉不同赛季球队阵容和打法变化对传球次数的影响。
四、实证结果与分析
实证部分主要分两小节,首先,利用全样本估计空气污染对球员传球次数的影响。其次,从主客场、是否为外援和场上位置的不同子样本进一步评估空气污染的异质性影响。
(一) 全样本估计。
基准估计结果见表 2,被解释变量是球员在比赛过程中传球次数的自然对数。其中,第1栏只包含球员个体特征的控制变量,第2栏至第5栏逐步加入气象、主客场、赛季及球队、赛季和球队的交互项的控制变量。第6栏至第8栏是分别更换了解释变量,其中第6栏的解释变量是AQI是否高于100的虚拟变量;第7栏和8栏的解释变量分别对应PM2.5浓度和PM10浓度。在估计方法应用上,由于同一个球员在不同场次的传球次数存在相关性,且同一个球员会在不同场馆进行比赛,同时某支球队的球员在赛季内可能会转会到其他球队或退役,①因此本文报告经由球员层面Cluster调整的稳健标准误。同时需要强调的是,由于中超赛程是在每个赛季之初就确立,不受任何球队或球员所左右,因而球员暴露在何种空气状况下具有外生性。
(1) | (2) | (3) | (4) | (5) | (6) | (7) | (8) | |
lnAQI | -0.0157** | -0.0177** | -0.0171** | -0.0171** | -0.0207*** | |||
(0.0064) | (0.0077) | (0.0074) | (0.0074) | (0.0074) | ||||
AQI_dummy | -0.0307*** | |||||||
(0.0102) | ||||||||
lnPM2.5 | -0.0159*** | |||||||
(0.0055) | ||||||||
lnPM10 | -0.0133** | |||||||
(0.0060) | ||||||||
Playtime | 0.0152*** | 0.0150*** | 0.0150*** | 0.0150*** | 0.0150*** | 0.0150*** | 0.0151*** | 0.0150*** |
(0.0004) | (0.0004) | (0.0004) | (0.0004) | (0.0004) | (0.0004) | (0.0004) | (0.0004) | |
Age | 0.0380 | 0.0517 | 0.0476 | 0.0476 | 0.0488 | 0.0488 | 0.0457 | 0.0482 |
(0.0753) | (0.0771) | (0.0770) | (0.0770) | (0.0711) | (0.0710) | (0.0712) | (0.0722) | |
Age2 | -0.0006 | -0.0009 | -0.0009 | -0.0009 | -0.0011 | -0.0011 | -0.0011 | -0.0011 |
(0.0014) | (0.0014) | (0.0014) | (0.0014) | (0.0013) | (0.0013) | (0.0013) | (0.0013) | |
Defender | 0.0571 | 0.0608 | 0.0667 | 0.0667 | 0.0640 | 0.0649 | 0.0628 | 0.0327 |
(0.0825) | (0.0857) | (0.0853) | (0.0853) | (0.0837) | (0.0833) | (0.0843) | (0.0870) | |
Midfielder | 0.0327 | 0.0364 | 0.0400 | 0.0400 | 0.0476 | 0.0478 | 0.0463 | 0.0319 |
(0.0506) | (0.0515) | (0.0517) | (0.0517) | (0.0533) | (0.0532) | (0.0538) | (0.0561) | |
Temperature | -0.0035*** | -0.0035*** | -0.0035*** | -0.0035*** | -0.0031** | -0.0035*** | -0.0053*** | |
(0.0013) | (0.0013) | (0.0013) | (0.0013) | (0.0013) | (0.0013) | (0.0016) | ||
Dewpoint | 0.0017 | 0.0017 | 0.0017 | 0.0016 | 0.0013 | 0.0017 | 0.0036** | |
(0.0014) | (0.0014) | (0.0014) | (0.0014) | (0.0014) | (0.0013) | (0.0017) | ||
Humidity | -0.1134** | -0.1154** | -0.1154** | -0.1195** | -0.1054** | -0.1192** | -0.1789*** | |
(0.0486) | (0.0469) | (0.0469) | (0.0467) | (0.0467) | (0.0463) | (0.0559) | ||
Speed | -0.0011 | -0.0011 | -0.0011 | -0.0012* | -0.0012 | -0.0015** | -0.0012 | |
(0.0007) | (0.0007) | (0.0007) | (0.0007) | (0.0007) | (0.0007) | (0.0008) | ||
Home_team | 0.0736*** | 0.0736*** | 0.0734*** | 0.0736*** | 0.0746*** | 0.0723*** | ||
(0.0071) | (0.0071) | (0.0072) | (0.0072) | (0.0072) | (0.0076) | |||
天气 | N | Y | Y | Y | Y | Y | Y | Y |
赛季 | N | N | N | Y | Y | Y | Y | Y |
球队 | N | N | N | Y | Y | Y | Y | Y |
球队×赛季 | N | N | N | N | Y | Y | Y | Y |
N | 8 981 | 8 362 | 8 362 | 8 362 | 8 362 | 8 362 | 8 302 | 7 692 |
括号内为系数估计的标准误,*p < 0.1,**p < 0.05,***p < 0.01。表 3、表 4和表 5同。 |
① 需要注意的是,比赛场馆集合不包含球员集合,球队集合也不包含球员集合。
第(1) 栏估计结果显示,在控制了球员个体特征后,刻画空气污染的空气质量指数lnAQI的估计系数为负,且在5%的水平上显著。第(2) 栏进一步控制了天气、温度、露点、湿度、气压和风速等气象变量后,lnAQI对lnPass的影响系数绝对值略微增加,显著性未发生明显改变。第(3)、第(4) 栏,加入主客场、赛季及球队后,空气质量指数变量估计系数的变化甚微,系数没有太大变化。正如前文提及,中超联赛存在球队更换教练、球员转会、签约和退役等状况,不同赛季同一球队的阵容及风格可能会有所改变,因此进一步控制球队和赛季的交互项十分必要。第(5) 栏加入球队和赛季交互项后,lnAQI的估计系数为-0.0207,在1%的水平上高度显著。这表明,在给定其他条件不变的情况下,AQI每上升1%,球员的传球次数将会下降0.0207个百分点。为了对这个估计系数的涵义有直观的理解,不妨以广州恒大主场所在地广州天河体育场为例,其AQI指数最低值为23,最高值为132,增长了574%,那么,模型估计系数意味着空气质量恶化将会使每个球员的传球次数下降11.88个百分点。对那些受雾霾影响深重的北方球队,球员生产率的下降就更加明显了。正是由于空气污染会对人体的呼吸系统、心肺功能和反应能力产生影响(Seaton等,1995;Kampa和Castanas,2008;Rundell,2012),影响球员在比赛中的体能、判断和应变能力(Sanders等,2012;Lavy等,2014;Stafford,2015;Archsmith等,2016),最终降低传球次数。本文提供了直接且确凿的证据(smoking-gun evidence)。
第(6) 栏是将AQI是否高于100作为解释变量的估计结果。按照2012年环境保护部公布的《环境空气质量指数(AQI)技术规定(试行)》的要求,AQI在100以下为优良,而AQI高于100则属于污染状态。当AQI高于100将开始对心肺功能、呼吸系统产生不利影响,随着AQI越来越高,健康人群运动的耐受力会逐步降低,伴有明显强烈的刺激症状,直接影响户外运动质量。为此,设置一个刻画污染强度的虚拟变量AQI_Dummy,AQI高于100取1,否则取0。结果显示,AQI_Dummy的估计系数显著为负数,为-0.0307。表明在其他变量不变的条件下,高强度污染会导致球员的传球次数下降0.0307个百分点。
第(7)、第(8) 栏分别将解释变量换为PM2.5浓度和PM10浓度的自然对数。结果显示,lnPM10和lnPM2.5的估计系数均为负数,且至少达到5%的显著水平。其中,LnPM10的估计系数为-0.0133,这一结果与Lichter等(2015) 利用德甲球员数据对PM10浓度的估计系数(-0.015) 十分接近。可见,在更换不同的污染指标后,结论依然稳健可靠。同时,一个有趣的发现是,PM2.5浓度的估计系数绝对值更大,且更显著。由于PM2.5较PM10更易进入呼吸道细支气管和肺泡,①会对人体心肺功能、呼吸系统及神经系统造成更严重的危害(Anderson等,2012;Janssen等,2013),从而会对球员传球表现的负向影响更大。这意味着,针对不同的污染类型和来源物,采取合理有效的大气污染防治行动,才能最大限度地减少对生产率的不利影响。
① PM2.5被称为细颗粒物(fine particulate matter),PM2.5到PM10间的物质被称为粗颗粒物(coarse particulate matter)。
从其他控制变量的估计亦能获得一些重要的发现。球员上场时间(Playtime)越长,总传球的次数越多,这与直观感受一致。球员的年龄(Age)及年龄的平方(Age2) 并没有对传球产生显著影响。这可能是由于中超联赛球员年龄处于19-37岁,平均值为27岁,整体比较年轻,使得年龄导致的差别较小。温度(Temperature)对球员传球次数的影响显著为负。这是因为高温加速机体脱水和致使体内温度过高,将会加重人体运动的负荷、降低精神反应力及判断力(Hancock等,2007),从而严重影响球员的运动能力(González Alonso等,2008),造成球员传球次数显著降低。湿度(Humidity)估计系数显著为负。高湿度会使运动员感觉闷热,体表排汗受阻,同时增加呼吸系统的压力。主场(Home_team)对球员传球次数的系数为正(0.0736),并且在1%的水平上显著,这是一个有价值的发现。既有文献表明,主场观众的支持度(Nevill等,1996)、比赛场馆的熟悉度(Moore和Brylinsky,1995)、裁判因素(Pettersson-Lidbom和Priks,2007)、地域感情以及独特的文化群体(Pollard,1986) 都会营造出主场效应,使球员的表现更佳。
(二) 空气质量对球员传球次数的异质性影响。
1.主客场影响的差异。由上所述,主场球队通常有更好的表现。那么,空气污染的影响效应在主客场有何不同?表 3第(1) 至第(6) 栏分别报告了分主客场球员子样本的估计结果。由表可见:在客场,空气质量(lnAQI)估计系数高度显著且为负数,其绝对值近似全样本的2倍。但在主场,空气质量(lnAQI)估计系数并不显著,这意味着主场优势将会抵消空气污染对球员传球次数的影响。lnPM2.5和lnPM10的影响有相类似的测度结论。
(1) | (2) | (3) | (4) | (5) | (6) | |
主场 | 客场 | 主场 | 客场 | 主场 | 客场 | |
lnAQI | 0.0057 | -0.0403*** | ||||
(0.0110) | (0.0117) | |||||
lnPM2.5 | 0.0015 | -0.0293*** | ||||
(0.0085) | (0.0088) | |||||
lnPM10 | 0.0087 | -0.0267*** | ||||
(0.0098) | (0.0099) | |||||
Playtime | 0.0144*** | 0.0154*** | 0.0144*** | 0.0154*** | 0.0146*** | 0.0152*** |
(0.0006) | (0.0006) | (0.0006) | (0.0006) | (0.0006) | (0.0006) | |
Age | -0.0702 | 0.1788* | -0.0705 | 0.1737* | -0.0502 | 0.1697* |
(0.0812) | (0.0933) | (0.0818) | (0.0933) | (0.0803) | (0.0949) | |
Age2 | 0.0010 | -0.0034** | 0.0010 | -0.0033* | 0.0006 | -0.0032* |
(0.0015) | (0.0017) | (0.0015) | (0.0017) | (0.0015) | (0.0017) | |
Defender | 0.1255* | -0.0082 | 0.1323* | -0.0188 | 0.1302* | -0.0547 |
(0.0689) | (0.1505) | (0.0706) | (0.1522) | (0.0706) | (0.1603) | |
Midfielder | 0.1090** | -0.0150 | 0.1090** | -0.0163 | 0.1176** | -0.0425 |
(0.0467) | (0.0950) | (0.0469) | (0.0962) | (0.0473) | (0.1043) | |
Temperature | 0.0011 | -0.0066*** | 0.0011 | -0.0067*** | -0.0000 | -0.0092*** |
(0.0019) | (0.0023) | (0.0019) | (0.0023) | (0.0025) | (0.0030) | |
Dewpoint | -0.0030 | 0.0054** | -0.0030 | 0.0055** | -0.0024 | 0.0087*** |
(0.0020) | (0.0024) | (0.0020) | (0.0024) | (0.0026) | (0.0032) | |
Humidity | 0.1003 | -0.3019*** | 0.0951 | -0.2962*** | 0.0560 | -0.3877*** |
(0.0720) | (0.0749) | (0.0723) | (0.0750) | (0.0895) | (0.0953) | |
Speed | -0.0002 | -0.0040*** | -0.0003 | -0.0044*** | -0.0003 | -0.0041*** |
(0.0009) | (0.0012) | (0.0010) | (0.0012) | (0.0010) | (0.0014) | |
天气 | Y | Y | Y | Y | Y | Y |
赛季 | Y | Y | Y | Y | Y | Y |
球队 | Y | Y | Y | Y | Y | Y |
球队×赛季 | Y | Y | Y | Y | Y | Y |
N | 4 191 | 4 171 | 4 161 | 4 141 | 3 841 | 3 851 |
正是因为主场效应激发了球员更强的精力和表现力,①同时,主场球队减少了旅途颠簸(Brown Jr等,2002),更适应当地的气候条件,能提高其比赛表现(Pollard等,2008),这就在一定程度上抵消了空气污染对身体机能的负面影响。而对客场球队,受旅途疲劳、不同气候和无现场观众支持等的多重影响,结果会使空气污染对客场球员比赛表现的负向影响被放大。
① 主队球员在比赛前体内肾上腺激素活性大大增加(Wolfson和Neave,2004),将激发球员更强的精力和毫不犹豫的攻击力(Pollard等,2008)。
2.外援与本土球员的影响差异。近年来,中超俱乐部不断打破转会记录、斥巨资引进高水平外援,以期用最短时间来实现提升球队竞争力的目的(徐金山等,2006)。①这些外援通常是球队的核心力量和精神领袖,在足球技术和意识上有着卓越的表现。②相对而言,在相同的场上位置,中国本土球员的表现就逊色许多。那么,当外援和本土球员在同一个球场面临共同的空气状况时,各自的表现是否存在明显差异?高超的球技是否起了作用?
① 足球网站“financefootball”近日发布了2016年中国足球俱乐部球员年薪排行榜TOP20,上榜球员全部为外援。http://sports.sina.com.cn/china/j/2016-10-04/doc-ifxwkzyh4217323.shtml。
② 如来自于巴西的外援具有极强的身体控制能力和脚下功夫(foot ability)(路云亭,2015)。
表 4第(1)、第(3) 和第(5) 栏分别为外援球员子样本的估计结果。由表可知,空气污染对外援传球次数的影响虽然为负但均不显著,即外援表现受空气污染的影响甚微。第(2)、第(4) 和第(6) 栏是本土球员子样本的估计结果。不论采用空气质量AQI,还是PM2.5浓度和PM10浓度,空气污染对本土球员传球次数的影响高度显著为负,且估计系数绝对值都明显高于全样本估计结果。由此可见,拥有良好的足球技术、智商、意识和敬业精神(徐金山等,2006) 可以弱化空气污染的负面影响。③然而,由于中国本土球员固有的技术劣势和敬业精神的缺失,无形中放大了空气污染的负面影响。④因此,不能将中国足球的长期低水平归咎于空气污染,恰恰相反,唯有努力提高中国本土球员的技术水平才能有效化解空气污染所带来的不利影响。
③ 法比亚诺和格乌瓦尼奥表示,他们并未感受到之前巴西媒体大肆炒作的中国“空气污染”问题。http://sports.qq.com/a/20160405/038144.html。
④ 目前中甲排名第一、有望在下赛季升级到中超的天津权健足球队的外援剖析:造就中超空气污染效应的根本原因是本土球员水平太低。http://sports.qq.com/a/20160405/038144.html。
(1) | (2) | (3) | (4) | (5) | (6) | |
外援 | 本土 | 外援 | 本土 | 外援 | 本土 | |
lnAQI | -0.0163 | -0.0277*** | ||||
(0.0146) | (0.0096) | |||||
lnPM2.5 | -0.0162 | -0.0192*** | ||||
(0.0100) | (0.0072) | |||||
lnPM10 | -0.0113 | -0.0174** | ||||
(0.0119) | (0.0081) | |||||
Playtime | 0.0157*** | 0.0148*** | 0.0157*** | 0.0148*** | 0.0154*** | 0.0148*** |
(0.0008) | (0.0006) | (0.0008) | (0.0006) | (0.0007) | (0.0006) | |
Age | -0.1873 | 0.1889** | -0.1784 | 0.1840** | -0.2299 | 0.1992** |
(0.1620) | (0.0785) | (0.1622) | (0.0797) | (0.1804) | (0.0828) | |
Age2 | 0.0034 | -0.0038** | 0.0033 | -0.0037** | 0.0041 | -0.0039** |
(0.0030) | (0.0015) | (0.0030) | (0.0015) | (0.0033) | (0.0015) | |
Defender | 0.2030 | 0.0656 | 0.2065 | 0.0637 | 0.1106 | 0.0412 |
(0.2065) | (0.1167) | (0.2046) | (0.1181) | (0.2038) | (0.1247) | |
Midfielder | 0.1037 | 0.0433 | 0.1066 | 0.0409 | 0.0296 | 0.0287 |
(0.1872) | (0.0752) | (0.1848) | (0.0762) | (0.1759) | (0.0825) | |
Temperature | -0.0048** | -0.0033* | -0.0050** | -0.0034* | -0.0068** | -0.0052** |
(0.0023) | (0.0018) | (0.0022) | (0.0018) | (0.0028) | (0.0022) | |
Dewpoint | 0.0022 | 0.0018 | 0.0023 | 0.0019 | 0.0041 | 0.0038* |
(0.0025) | (0.0018) | (0.0024) | (0.0018) | (0.0031) | (0.0023) | |
Humidity | -0.0798 | -0.1285** | -0.0822 | -0.1260** | -0.1406 | -0.1937*** |
(0.0869) | (0.0598) | (0.0860) | (0.0596) | (0.1045) | (0.0722) | |
Speed | 0.0002 | -0.0014 | -0.0001 | -0.0016* | 0.0001 | -0.0014 |
(0.0012) | (0.0009) | (0.0012) | (0.0009) | (0.0013) | (0.0010) | |
天气 | Y | Y | Y | Y | Y | Y |
赛季 | Y | Y | Y | Y | Y | Y |
球队 | Y | Y | Y | Y | Y | Y |
球队×赛季 | Y | Y | Y | Y | Y | Y |
N | 2 755 | 5 607 | 2 733 | 5 569 | 2 545 | 5 147 |
3.不同位置影响的差异。按照Csl Data数据将球员划分为后卫、前卫和前锋三类。表 5第(1)、第(2) 和第(3) 栏分别报告了空气质量(lnAQI)对不同位置球员传球次数的影响。结果显示,在其他控制变量不变的情况下,后卫和前卫都受空气污染的影响,而前锋并未受影响。其中:后卫影响系数为-0.0223,在10%的水平上显著;前卫影响系数为-0.0253,在5%的水平上显著。表 5第(4) 至第(9) 栏进一步考察了不同空气污染指标下、不同位置球员所受的影响。结果表明,lnPM2.5和lnPM10这两个变量均对后卫和前卫球员的传球次数有显著的负面影响,而对前锋影响不显著。
(1) | (2) | (3) | (4) | (5) | (6) | (7) | (8) | (9) | |
后卫 | 前卫 | 前锋 | 后卫 | 前卫 | 前锋 | 后卫 | 前卫 | 前锋 | |
lnAQI | -0.0223* | -0.0253** | -0.0175 | ||||||
(0.0126) | (0.0114) | (0.0190) | |||||||
lnPM2.5 | -0.0205** | -0.0174** | -0.0126 | ||||||
(0.0096) | (0.0081) | (0.0134) | |||||||
lnPM10 | -0.0079 | -0.0212** | -0.0146 | ||||||
(0.0107) | (0.0090) | (0.0137) | |||||||
Playtime | 0.0144*** | 0.0150*** | 0.0169*** | 0.0144*** | 0.0150*** | 0.0170*** | 0.0143*** | 0.0151*** | 0.0166*** |
0.0009) | (0.0005) | (0.0013) | (0.0009) | (0.0005) | (0.0013) | (0.0009) | (0.0006) | (0.0011) | |
Age | -0.1132 | 0.0861 | 0.0447 | -0.1186 | 0.0857 | 0.0513 | -0.1313 | 0.0634 | 0.0590 |
0.1215) | (0.0968) | (0.2558) | (0.1214) | (0.0971) | (0.2577) | (0.1249) | (0.0978) | (0.2023) | |
Age2 | 0.0016 | -0.0021 | -0.0001 | 0.0017 | -0.0021 | -0.0002 | 0.0019 | -0.0016 | -0.0005 |
(0.0021) | (0.0018) | (0.0050) | (0.0021) | (0.0018) | (0.0050) | (0.0022) | (0.0019) | (0.0040) | |
Temperature | -0.0038 | -0.0036** | -0.0025 | -0.0040 | -0.0038** | -0.0025 | -0.0060** | -0.0053** | -0.0035 |
(0.0025) | (0.0017) | (0.0032) | (0.0024) | (0.0017) | (0.0032) | (0.0030) | (0.0022) | (0.0039) | |
Dewpoint | 0.0021 | 0.0006 | 0.0039 | 0.0023 | 0.0007 | 0.0038 | 0.0042 | 0.0024 | 0.0052 |
(0.0024) | (0.0020) | (0.0034) | (0.0024) | (0.0019) | (0.0033) | (0.0029) | (0.0024) | (0.0040) | |
Humidity | -0.1595* | -0.0771 | -0.1484 | -0.1637** | -0.0760 | -0.1430 | -0.2183** | -0.1413* | -0.1945 |
(0.0818) | (0.0717) | (0.1160) | (0.0811) | (0.0711) | (0.1162) | (0.0975) | (0.0838) | (0.1344) | |
Speed | -0.0012 | -0.0015 | -0.0003 | -0.0015 | -0.0018 | -0.0005 | -0.0013 | -0.0016 | 0.0000 |
(0.0010) | (0.0013) | (0.0013) | (0.0010) | (0.0014) | (0.0012) | (0.0011) | (0.0015) | (0.0013) | |
天气 | Y | Y | Y | Y | Y | Y | Y | Y | Y |
赛季 | Y | Y | Y | Y | Y | Y | Y | Y | Y |
球队 | Y | Y | Y | Y | Y | Y | Y | Y | Y |
球队×赛季 | Y | Y | Y | Y | Y | Y | Y | Y | Y |
N | 3 274 | 3 558 | 1 530 | 3 249 | 3 535 | 1 518 | 3 022 | 3 267 | 1 403 |
从运动学角度看,在足球比赛中,后卫和前卫的比赛负荷高于前锋,体现在前两者在比赛中的跑动距离明显大于后者(Bangsbo等,1991;Bangsbo,2014;刘浩等,2016)。因而,后卫和前卫的有氧活动消耗更大,呼吸系统和反应能力受空气污染的影响也更大,从而影响其比赛的传球表现。该发现与Lichter等(2015) 利用德甲联赛球员数据的研究结论相一致。
五、结论与启示
严重的空气污染不仅威胁广大民众的身心健康,还直接影响人们生产、生活的诸多方面。对户外从业人员而言,空气污染无疑会造成其生产效率的损耗。本文利用中超足球运动员的面板数据实证评估了空气污染的生产率效应。用球员在比赛中的传球次数刻画个体生产率,用距比赛场馆最近的实时监测数据度量空气污染状况。
研究结果表明,空气污染会显著降低球员的传球次数,AQI每上升1%,球员传球次数会下降0.021%;PM2.5浓度每上升1%,传球次数下降0.016%;PM10浓度每上升1%,传球次数下降0.013%。分子样本研究发现,空气污染的不利影响在客场比赛会被放大,而在主场则不显著;高超技能可以一定程度上弱化空气污染对传球次数的负面影响,球技更好的外援受空气污染的影响甚微,但对本土球员的负面影响很大;在不同位置(后卫、前卫和前锋),空气污染效应有所不同。由于赛程是提前确定的,不存在球员因空气状况而主动规避比赛的情况,因而空气污染对球员表现的影响具有外生性,本文的研究结论稳健可靠。
需要提及,尽管本文研究表明空气污染会对球员的赛场表现产生不利影响,但并不能因此断言中国足球的长期低水平之“祸根”是空气污染。恰恰相反,只有努力提高球员的技战术水平,才能有效化解空气污染的负面影响,这也是推动中国足球事业发展的“硬道理”。
本文利用大样本微观证据揭示了空气污染对户外足球运动员表现的不利影响,丰富了国内关于空气污染短期生产率效应的相关文献,也能为理解当前中国空气污染的经济社会后果提供重要线索。本文的研究结论对长期暴露于空气污染中的户外从业者(如建筑工人、高空保洁工人、司机及物流快递员等)亦可产生重要的政策启示:改善空气质量,将能在很大程度上提升广大户外从业者的工作效率,从而为经济发展注入健康、高效的活力。
[1] | 陈硕, 陈婷. 空气质量与公共健康:以火电厂二氧化硫排放为例[J]. 经济研究, 2014(8): 158–169. |
[2] | 侯会生, 张磊, 夏辉, 等. 足球比赛核心制胜技战术指标的探讨分析[J]. 北京体育大学学报, 2013(5): 134–139. |
[3] | 李晓康, 潘春光, 刘浩. 中超联赛各比赛位置球员跑动距离及强度特征研究[J]. 北京体育大学学报, 2016(3): 130–136. |
[4] | 路云亭. 足球中的国民性[J]. 体育与科学, 2015(1): 28–37. |
[5] | 徐金山, 陈效科, 沈建华, 等. 外籍球员引进与中国职业足球发展的研究[J]. 北京体育大学学报, 2006(2): 159–161. |
[6] | 张庆丰, 罗伯特·克鲁克斯. 迈向环境可持续的未来——中华人民共和国国家环境分析[M]. 北京: 中国财政经济出版社, 2012. |
[7] | 郑思齐, 张晓楠, 宋志达, 等. 空气污染对城市居民户外活动的影响机制:利用点评网外出就餐数据的实证研究[J]. 清华大学学报(自然科学版), 2016(1): 89–96. |
[8] | Adhvaryu A, Kala N, Nyshadham A. The light and the heat:Productivity co-benefits of energy-saving technology[R].World Bank Working Paper, 2015. |
[9] | Anderson J O, Thundiyil J G, Stolbach A. Clearing the air:A review of the effects of particulate matter air pollution on human health[J]. Journal of Medical Toxicology, 2012, 8(2): 166–175. DOI:10.1007/s13181-011-0203-1 |
[10] | Archsmith J, Heyes A, Saberian S. Air quality and error quantity:Pollution and performance in a high-skilled, quality-focused occupation[R].SSRN Working Paper, 2016. |
[11] | Bangsbo J, Nøregaard L, Thorsoe F. Activity profile of competition soccer[J]. Canadian Journal of Sport Sciences, 1991, 16(2): 110–116. |
[12] | Bangsbo J. Physiological demands of football[J]. Sports Science Exchange, 2014, 27(125): 1–6. |
[13] | Brown T D Jr, Van Raalte J L, Brewer B W, et al. World cup Soccer home advantage[J]. Journal of Sport Behavior, 2002, 49(6): 475–483. |
[14] | Chan C-C, Wu T-H. Effects of ambient ozone exposure on mail carriers' peak expiratory flow rates[J]. Environmental Health Perspectives, 2005, 113(6): 735–738. DOI:10.1289/ehp.7636 |
[15] | Chang T, Zivin J G, Gross T, et al. Particulate pollution and the productivity of pear packers[J]. American Economic Journal:Economic Policy, 2016a, 8(3): 141–169. DOI:10.1257/pol.20150085 |
[16] | Chang T, Zivin J G, Gross T, et al. The effect of pollution on worker productivity:Evidence from call-center workers in China[R].NBER Working Paper No.22328, 2016b. |
[17] | Currie J, Neidell M. Air pollution and infant health:What can we learn from california's recent experience?[J]. Quarterly Journal of Economics, 2005, 120(3): 1003–1030. |
[18] | Currie J, Davis L, Greenstone M, et al. Do housing prices reflect environmental health risks? Evidence from more than 1600 toxic plant openings and closings[R].NBER Working Paper No.18700, 2013. |
[19] | Di Salvo V, Baron R, Tschan H, et al. Performance characteristics according to playing position in Elite Soccer[J]. International Journal of Sports Medicine, 2007, 28(3): 222–227. DOI:10.1055/s-2006-924294 |
[20] | Dockery D W. Health effects of particulate air pollution[J]. Annals of Epidemiology, 2009, 19(4): 257–263. DOI:10.1016/j.annepidem.2009.01.018 |
[21] | Donaldson K, Gilmour M, MacNee W. Asthma and PM 10[J]. Respiratory Research, 2000, 1(1): 12–15. DOI:10.1186/rr5 |
[22] | Fang D, Wang Q, Li H, et al. Mortality effects assessment of ambient PM 2.5 pollution in the 74 leading cities of China[J]. Science of The Total Environment, 2016, 569-570: 1545–1552. DOI:10.1016/j.scitotenv.2016.06.248 |
[23] | Fu S, Guo M. Running with a mask? The effect of air pollution on marathon runners' performance[Z]. 2016. |
[24] | Garvey D J, Longo L D. Chronic low level maternal carbon monoxide exposure and fetal growth and development[J]. Biology of Reproduction, 1978, 19(1): 8–14. DOI:10.1095/biolreprod19.1.8 |
[25] | Gatto N M, Henderson V W, Hodis H N, et al. Components of air pollution and cognitive function in middle-aged and older adults in Los Angeles[J]. Neurotoxicology, 2014, 40: 1–7. DOI:10.1016/j.neuro.2013.09.004 |
[26] | González-Alonso J, Crandall C G, Johnson J M. The cardiovascular challenge of exercising in the heat[J]. The Journal of Physiology, 2008, 586(1): 45–53. DOI:10.1113/jphysiol.2007.142158 |
[27] | Hancock P A, Ross J M, Szalma J L. A meta-analysis of performance response under thermal stressors[J]. Human Factors:The Journal of the Human Factors and Ergonomics Society, 2007, 49(5): 851–877. DOI:10.1518/001872007X230226 |
[28] | He J, Liu H, Salvo A. Severe air pollution and labor productivity[R].IZA Discussion Papers No.8916, 2016. |
[29] | Janssen N, Fischer P, Marra M, et al. Short-term effects of PM 2.5, PM 10 and PM 2.5-10 on daily mortality in the Netherlands[J]. Science of the Total Environment, 2013, 463-464: 20–26. DOI:10.1016/j.scitotenv.2013.05.062 |
[30] | Kampa M, Castanas E. Human health effects of air pollution[J]. Environmental Pollution, 2008, 151(2): 362–367. DOI:10.1016/j.envpol.2007.06.012 |
[31] | Lavy V, Ebenstein A, Roth S. The impact of short term exposure to ambient air pollution on cognitive performance and human capital formation[R].NBER Working Paper, No. 20648, 2014. |
[32] | Lichter A, Pestel N, Sommer E. Productivity effects of air pollution:Evidence from professional soccer[R].IZA Working Paper No.8964, 2015. |
[33] | Ozkaynak H, Xue J, Spengler J, et al. Personal exposure to airborne particles and metals:Results from the Particle TEAM study in Riverside, California[J]. Journal of Exposure Analysis and Environmental Epidemiology, 1995, 6(1): 57–78. |
[34] | Pettersson-Lidbom P, Priks M. Behavior under social pressure:Empty Italian stadiums and referee bias[J]. Economics Letters, 2010, 108(2): 212–214. DOI:10.1016/j.econlet.2010.04.023 |
[35] | Pollard R. Home advantage in soccer:A retrospective analysis[J]. Journal of Sports Sciences, 1986, 4(3): 237–248. DOI:10.1080/02640418608732122 |
[36] | Pollard R, Silva C D, Medeiros N C. Home advantage in football in Brazil:Differences between teams and the effects of distance traveled[J]. The Brazilian Journal of Soccer Science, 2008, 1(1): 3–10. |
[37] | Pope C A Ⅲ, Burnett R T, Thun M J, et al. Lung Cancer, Cardiopulmonary Mortality and long-term exposure to fine particulate air pollution[J]. Journal of the American Medical Association, 2002, 287(9): 1132–1141. DOI:10.1001/jama.287.9.1132 |
[38] | Rundell K W. Effect of air pollution on athlete health and performance[J]. British Journal of Sports Medicine, 2012, 46(6): 407–412. DOI:10.1136/bjsports-2011-090823 |
[39] | Sanders S J, Murtha M T, Gupta A R, et al. De novo mutations revealed by whole-exome sequencing are strongly associated with autism[J]. Nature, 2012, 485(7397): 237–241. DOI:10.1038/nature10945 |
[40] | Schlenker W, Walker W R. Airports, air pollution, and contemporaneous health[J]. The Review of Economic Studies, 2015, 83(2): 768–809. |
[41] | Son J, Bell M L. The relationships between short-term exposure to particulate matter and mortality in Korea:Impact of particulate matter exposure metrics for sub-daily exposures[J]. Environmental Research Letters, 2013, 8(1): 1–8. |
[42] | Stafford T M. Indoor air quality and academic performance[J]. Journal of Environmental Economics and Management, 2015, 70: 34–50. DOI:10.1016/j.jeem.2014.11.002 |
[43] | Stern R E. Hong Kong haze:Air pollution as a social class[J]. Asian Survey, 2003, 43(5): 780–800. DOI:10.1525/as.2003.43.issue-5 |
[44] | Weinmayr G, Romeo E, De Sario M, et al. Short-term effects of PM10 and NO2 on respiratory health among children with asthma or asthma-like symptoms:A systematic review and meta-analysis[J]. Environmental Health Perspectives, 2010, 118(4): 449–457. |
[45] | Weiss P, Rundell K W. Exercise-induced lung disease:Too much of a good thing?[J]. Pediatric Allergy, Immunology, and Pulmonology, 2011, 24(3): 149–157. DOI:10.1089/ped.2011.0066 |
[46] | Wolfson S, Neave N. Preparing for home and away matches[J]. Insight:The FA Coaches Association Journal, 2004, 8(2): 40–43. |
[47] | Xia Y, Guan D, Jiang X, et al. Assessment of socioeconomic costs to China's air pollution[J]. Atmospheric Environment, 2016, 139: 147–156. DOI:10.1016/j.atmosenv.2016.05.036 |
[48] | Zhang M, Song Y, Cai X, et al. Economic assessment of the health effects related to particulate matter pollution in 111 Chinese cities by using economic burden of disease analysis[J]. Journal of Environmental Management, 2008, 88(4): 947–954. DOI:10.1016/j.jenvman.2007.04.019 |
[49] | Zivin J G, Neidell M. The impact of pollution on worker productivity[J]. American Economic Review, 2012, 102(7): 3652–3673. DOI:10.1257/aer.102.7.3652 |
[50] | Zivin J G, Neidell M. Environment, health, and human capital[J]. Journal of Economic Literature, 2013, 51(3): 689–730. DOI:10.1257/jel.51.3.689 |